高山树线迁移动态受到生物与非生物因子共同调控。尽管气候变暖被认为是树线上升的主要驱动因子,但它却不能解释树线迁移对变暖的滞后响应。树线变化的核心是种群的更新与死亡动态及其对气候和非气候因素的响应机制。种内互利和竞争被认为是调控树线过渡带内幼苗更新与死亡的潜在因素之一,但缺乏观测数据来验证种幼苗死亡动态及其驱动机制。
鉴于此,中国科学院青藏高原研究所生态系统格局与过程团队对青藏高原东部跨度约1100 km的纬度梯度带上12块高山树线样地(2011—2013年布设)进行了复查(图1)。通过对比两次调查期间建植和死亡个体的数量,精确计算了样地内年均建植率、死亡率和种群增长率,并应用点格局分析和广义加性模型,探究了种内互利和竞争对幼苗更新和死亡的影响。
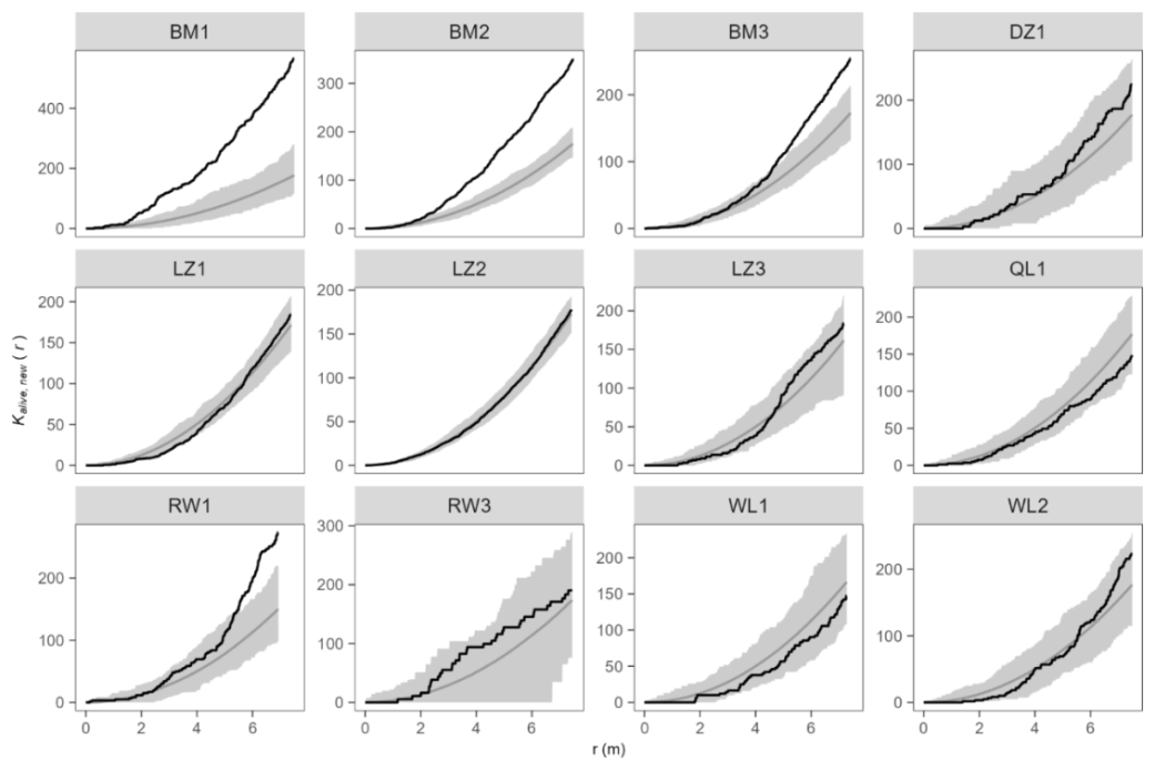
研究表明,12块样地中有9块在过去10年来种群更新明显上升;树线平均爬升了6.75米,平均爬升速率为0.56米/年,最高爬升速率2.66米/年(三江源区川西云杉树线),总体呈加速上升趋势。死亡个体以幼苗为主,高于2米的成年树死亡率极低(1‰),为定义树线为“大于2米高度的直立乔木连续分布的最高海拔上限”提供了事实证据(图2)。种群空间格局分析结果显示,幼苗并未聚集在成年树周围,不支持“胁迫梯度假说”所指向的种内互利效应(图3)。相反,高密度区域的幼苗死亡率显著高于稀疏区域,说明个体死亡风险随种内相互作用强度(CII指数)上升而增加,揭示种内竞争是导致幼苗死亡的关键因素(图4)。
该研究在十年尺度上使用观测数据量化了自然条件下高山树线过渡带的种群建植率和死亡率,揭示了种内竞争对幼苗存活的影响。研究强调,在预测未来气候变化下的种群迁移动态时,生态模型中需纳入种内竞争等负向密度制约因素。
上述研究成果以“Intraspecific competition drives recruit mortality in alpine treelines”为题,近日发表在《Journal of Ecology》期刊。我所博士研究生郑翔宇为论文第一作者,梁尔源研究员为通讯作者。该研究得到了国家重点研发计划、国家自然科学基金等项目的资助。
论文链接:https://doi.org/10.1111/1365-2745.70230

图1. 高山树线样地分布

图2. 基于由广义加性模型得出种内相互作用指数(CII)与树高对树木死亡率的综合效应。(a)双变量平滑项展示了树高与CII对个体死亡(1代表死亡,0代表存活)的共同影响。暖色调表示较高的死亡风险。最左侧的一列点代表不受种内相互作用影响的个体(即CII = 0)。图(b-c)分别展示了CII和树高对个体死亡的偏效应,虚线表示对死亡无显著影响

图3. 基于Ripley K函数分析新建植的幼苗与成年个体(高度大于2m)的空间关系
当黑线处在阴影区域上边时,表明幼苗与成年个体呈现聚集分布;处在下边时呈现离散分布;处在阴影区域内部则呈现随机分布

图4. 比较所有树线样地上下半区(以样地y轴中线为界)的建植率和死亡率使用配对Wilcoxon检验评估
(1)样地上下半区内部建植率与死亡率的差异,以及(2)半区间建植率和死亡率的差异