前期研究揭示,气候变暖背景下,青藏高原大部分高山树线明显爬升,但其爬升速率远不及预期,甚至部分树线出现了后退,暗示非气候因子也调控了树线变化。种子供给、幼苗建植和生物干扰等因素可以影响树线位置,但其相对作用与交互效应仍缺乏长期实验证据。
为揭示驱动树线动态的关键生态过程,中国科学院青藏高原研究所生态系统格局与过程团队梁尔源研究员与西班牙比利牛斯生态研究所J. Julio Camarero研究员选取比利牛斯山脉的欧洲山松(Pinus uncinata)突变型与渐变型树线作为研究对象(图1)。实验设计包含控制、播种、松土以及“播种+松土”四种处理,同时在部分播种样方中设置网笼以排除植食性动物。通过2013-2024年间的分批播种与持续监测,以此探究不同环境条件与生态因子对树线幼苗更新的相对影响。
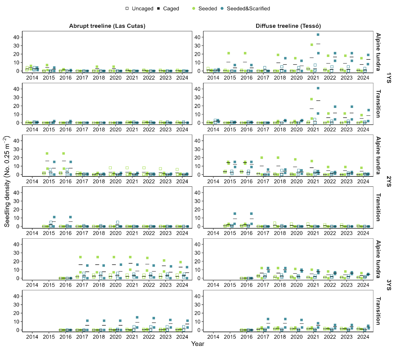
研究表明,种子可用性是两类树线幼苗更新的共同初始限制因子(图2)。播种虽能促使幼苗大量萌发,但随后几年幼苗存活率快速下降,此模式在渐变型树线中更显著。网笼防护显著提高了幼苗密度,表明植食压力是关键生物限制因子(图3)。树线类型调节着生态过程的强度,渐变型树线对种子供给和植食压力表现出更高敏感性(图4)。灌木对幼苗的影响则具有双重性:灌木可以通过竞争限制幼苗生存,而在低温或风雪胁迫更强的环境中能通过改善微环境促进幼苗存活(图5)。此外,极端气候事件(特别是近年极端高温)导致新生幼苗的存活率大幅下降,表明气候变暖增加了幼苗在夏季高温与干旱条件下的死亡风险。
总体而言,高山树线更新受多重生态因子的顺序性调控,种子供给限制构成初始瓶颈,随后的植食压力、微环境(如灌木)及气候条件作为选择性过滤器,共同影响幼苗的建植与存活。这种多因素的动态平衡可能决定树线位置的相对稳定性和响应速率,揭示了树线动态的复杂性远非单一的气候驱动因素所能概括。
上述研究成果以“Disentangling seed availability and establishment filters at alpine treelines through a decade-long field manipulation”为题于2025年11月17日在线发表在《Journal of Ecology》期刊,我所博士研究生林文涛为论文第一作者,西班牙比利牛斯生态研究所J. Julio Camarero为通讯作者。
文章链接:https://doi.org/10.1111/1365-2745.70204

图1 西班牙比利牛斯山脉的研究树线和实验样方处理

图2 不同树线类型、幼苗龄级和区域的幼苗密度在监测期内(2014-2024)的时间动态

图3 两种树线类型的幼苗密度对(a)网笼×处理和(b)区域×处理交互作用的响应

图4 基于增强回归树模型的预测变量相对重要性:(a)突变型树线;(b)渐变型树线

图5 基于增强回归树模型的幼苗密度预测:网笼防护、灌木盖度与生长季最高温度的交互效应