山地生态系统发育和保存着较高的生物多样性,既是生物多样性研究的热点地区也是重点保护区域。青藏高原作为世界屋脊,是我国重要的生态安全屏障,其独一无二的地理-地质-生态单元,形成了独特的地貌类型和多样的植被分布格局。以往研究受限于山体的可达性、人力和财力的有限性, 特别是在拥有众多高大山峰的青藏高原地区, 由于道路阻碍,且高寒缺氧等客观条件, 这些研究仅沿公路沿线或附近调查了山体低海拔区域或山谷的物种丰富度和植被类型,而忽略了山体自身的垂直带变化。物种丰富度和植被类型分布沿海拔梯度变化的特征会因研究尺度而异,如果我们仅用区域内某一个山体物种丰富度随海拔梯度的变化、或者仅用某区域内山体山脚物种丰富度和山脚基带植被分布类型沿海拔梯度的变化外推到整个区域内山体物种丰富度和植被分布类型沿海拔梯度的分布格局会存在很大的不确定性。
绒布冰川是珠穆朗玛峰地区面积最大的冰川, 其冰川融水形成绒布河, 绒布河流域长129 km,海拔落差将近1500m,流域两岸分布着大大小小且植被类型不同的许多山体, 这为研究区域(流域)尺度上不同海拔的山体垂直带物种丰富度及其植被类型分布格局变化提供了良好的自然条件。2023年8月,中国科学院青藏高原研究所生态系统功能与全球变化团队汪诗平研究员等联合西藏大学、西藏自治区生态环境监测中心和西藏低碳草牧科技有限公司等单位,在珠峰绒布河流域选择4个不同基线海拔(海拔基线3810-5155m)的典型样区,对8座山体(包括阴坡与阳坡)进行了系统调查(图1)。该研究创新性地采用山体完整垂直带采样设计,结合样线法和样方法,系统比较了传统山脚调查与完整山体调查在物种丰富度和山体植被垂直带谱分布评估上的差异。
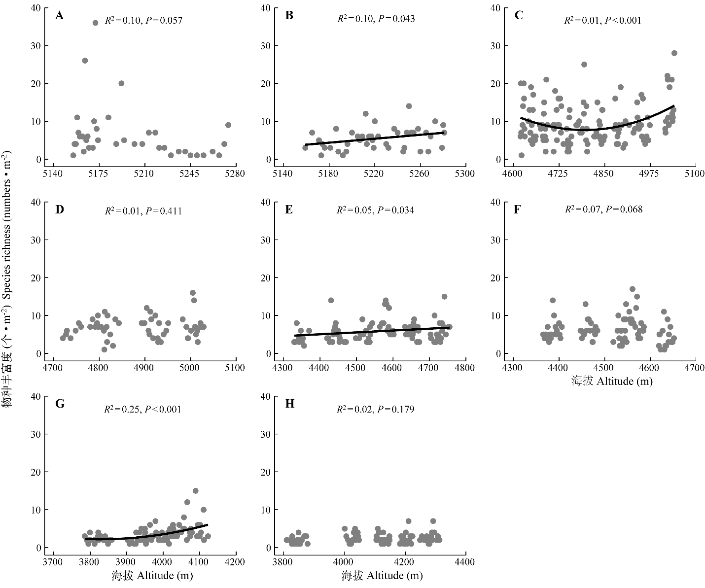
研究发现:(1)整体上,山体下部区域的累计物种丰富度要低于山体中上部的累计物种丰富度, 仅在山脚区域进行调查将低估13.5%~54.8%的植物种类(图2);(2)流域尺度上, 单位面积 (1m2) 物种丰富度随海拔的变化呈单峰曲线分布。而在各独立山体上, 单位面积物种丰富度沿海拔梯度的分布模式不尽相同, 既有U形分布、正相关, 也有无显著关系的模式(图3);(3)山体阴坡的单位面积物种丰富度要高于山体阳坡。显示出坡向在调控山地植物群落结构中的关键作用(图4)。(4)不同基带海拔调查情景下群落物种组成和优势度差异显著,部分山体若未进行完整山体调查,将严重低估或高估高山灌丛带与高山草原带的垂直分布范围(图5-7)。例如,基带设置于山体1/4、2/4和3/4处时,分别低估了高山灌丛带527m、336m和268m的垂直分布高度,而高估了高山草原带440m、329m和271m的分布范围。因此,传统以山脚基带调查结果推断整个山体垂直带植被带谱存在明显偏差。
汪诗平研究员表示,过去许多高原地区的植被调查受限于地形和交通,往往集中在山脚或公路沿线,这会显著低估整座山体的植物多样性。我们需要从整体山体出发,理解生态系统的垂直维度变化。在未来的研究中需要开展更多山地生态系统物种丰富度和在山体空间尺度上分布格局及其关键影响因素和机制的研究。这项研究再次提醒我们,生态调查的视野不能止步于山脚,只有走上山,才能看见山体植被的全貌。
该研究基于完整山体样带调查方法,对不同基带海拔调查情景下植物物种组成及植被类型的变化进行了系统评估,为准确理解青藏高原高山植被的垂直分布格局提供了实证依据;为未来青藏高原高山地区植被分布规律研究与高精度植被图编制提供了关键技术路径和数据支撑,具有重要的理论价值与应用意义,是我国在极高海拔地区开展大尺度山体垂直植被带谱系统调查的开创性工作。
该研究对传统山区植物调查方法提出挑战,研究认为:在山地生态系统中,仅靠山脚样带调查不仅显著低估其生物多样性(13.5%~54.8%),而且高山灌丛和高山草原带的分布范围也难以精确划分,尤其是在生态空间垂直异质性显著的青藏高原地区。相关成果分别以《山脚基带调查低估了青藏高原山地物种丰富度:以珠峰绒布河流域山体垂直带为例》和《珠穆朗玛峰绒布河流域高山植被垂直分布格局》为题,分别发表于中文核心期刊《植物生态学报》和《中国科学:生命科学》,我所博士后李博文和周阳分别为文章的第一作者,汪诗平研究员为通讯作者,研究得到了西藏自治区生态环境监测中心项目拉萨市科学技术局项目(QYXTCX-LS2022-04和2023000097)和国家自然科学基金青年科学基金项目(32201358)的联合资助,为改进高原生态调查设计、优化保护区划分提供了重要理论依据。
文章链接:
http://engine.scichina.com/doi/10.1360/SSV-2024-0232
https://www.plant-ecology.com/CN/lexeme/showArticleByLexeme.do?articleID=100766

图1 研究区域和调查山体的分布(A)和山体调查区域划分示意图(B)。M01–M08分别表示从绒布河流域从上游到下游所调查的八个山体坡面;A1, A2, A3分别表示将山体根据海拔高度划分的三个海拔段;E1, E2, E3分别表示每个山体所划分的三种调查情景。

图2 绒布河流域各个山体累计物种丰富度沿海拔高度的变化。M01–M08表示绒布河上游到下游所调查的8个独立山体。

图3 绒布河流域各个山体垂直带物种丰富度和海拔的关系。A–H分别为山体M01–M08的结果,山体详细信息见表2。灰色的点表示所调查的每个样方物种丰富度。

图4 绒布河流域不同基带海拔梯度阴坡和阳坡单位面积物 种丰富度的比较。BA1–BA4分别表示从绒布河上游至绒布 河下游4个不同的基带海拔高度(分别为5 153、4 657、4 346 和3 798 m)。*表示阴坡和阳坡单位面积物种丰富度差异显著 (p<0.05)。

图5 绒布河流域不同坡向及调查情景基带主要物种重要值的变化

图6 绒布河流域各山体不同调查情景基带主要物种重要值变化

图7 绒布河流域不同山体垂直带谱